はじめに
前回はデータの「今」の変化を捉える「微分」について掘り下げました。今回はその反対とも言える「変化を積み上げること(積分)」について掘り下げ、データサイエンスにおいてどういった意味を持つのか解説します。
数学の授業で習う積分は記号や公式が複雑で難しく感じられますが、データサイエンスにおける積分は、もっと素朴でありながらも強力な「予測の武器」として活用できます。
日常の中に潜む「積算」の論理
積分が、普段の私たちの判断にどのように役立っているのでしょうか。最も身近な例は「積算温度」です。特別な専門用語に聞こえるかもしれませんが、実は私たちはこの「積分のロジック」を驚くほど無意識のうちに使いこなしています。
無意識での「積分」の利用
例えば、春の訪れを感じる時、私たちは単純にカレンダーの日付だけを見ているわけではありません。「最近、暖かい日が続いているから、そろそろ桜が咲きそうだ」という誰もが経験する感覚。これこそが、脳内で行われている高度な「積分処理」の要約なのです。
「今日が暖かい」という一過性の情報ではなく、「暖かい日が続いている」という過去からの変化の「蓄積」に、私たちの体感は反応しています。
なぜ「知識」と「実感」が結びつかないのか
温度やエネルギーのような連続的な変化は、リンゴの数を数えるように目に見える形では積み上がりません。
- 微分的な視点:「今日、急に25度になった」という一瞬の数値
- 積分的な視点:「ここ数週間で、これだけの熱量が溜まった」という目には見えない蓄積
私たちは、この「見えない積み重なった量」を、これまでの経験から「そろそろ」という直感として読み取っています。この「直感」というブラックボックスをデータサイエンスの言葉で解き明かすと、それが「積分」という名になる、ただそれだけのことなのです。
筆者も「積算温度」という言葉を知識として知ったのは家庭菜園を始めてからでした。しかし、正確な計算をしなくとも、「去年と比べてどうか」という体感だけで、収穫の時期は大まかに分かります。私たちはこうした豊かな「体感としての積分」をすでに持っているがゆえに、その背後にある数理的な意味には意識を向ける必要がなかったのかもしれません。
データ分析における「積分」とは
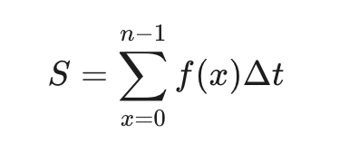
数学における積分は、関数を限りなく細かく刻んでその面積を求める精緻な概念です。しかし、実際のデータ(気温、売上、センサー値など)は連続的ではなく、飛び飛びの数値(離散値)として存在します。そのため、データにおける積分の実体は、極めてシンプルな「単なる足し算」として表現できます。
これをもっと簡単にすると、リスト1のようになります。
let S = 0;
for(let x = 0; x < n; x++){
S += f(x) * dt;
}
今の値と、その前までの合計値を足す。この素朴な蓄積こそが、データサイエンスにおける積分の実体です。あまりに単純なため、私たちはそれを「積分」と呼ぶことすら忘れ、単なる「合計」として片付けてしまいがちです。
しかし、この「ただの足し算」を意識的に積分の本質部分と見ることができれば、微分(変化)だけでは捉えきれなかった「確定した事実」が見えてきます。
